

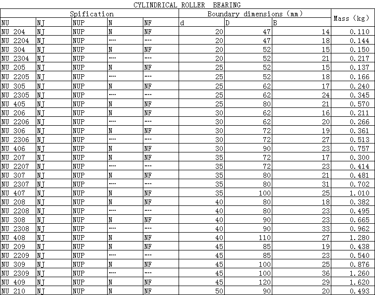
This type of bearings is separable .As their rollers linearly come into contact with inner ring and outer ring with less coefficient of friction ,these bearings have very good capacity of radial load,suitable for electric motors, automobiles,transmission shafts, gear shafts and so on. Double row cylindrical roller bearings are good at the spindles of machine tools.


Number of clicks:905 Entry time:2017-12-20 17:11:17【Print this page】【Return】