

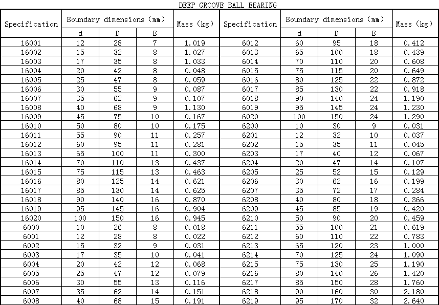
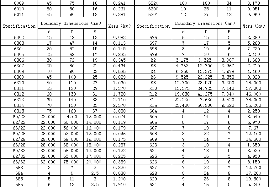
Deep groove ball bearings mainly take radial load as well as take moderate axial load. With less coefficient of friction ,high limiting speed, large size range and colorful combination of structure ;they are suitable for tractors,motors,automobiles, motorcycles,and other common machinery , as a widely used type of bearings in machinery industry.


Number of clicks:1084 Entry time:2017-12-20 17:48:18【Print this page】【Return】